厚生労働省
職場のあんぜんサイト
HOME
お問合せ
サイトマップ
検索
労働災害統計
労働災害統計のトップへ
労働災害発生速報
労働災害統計集
労働災害原因要素の分析
労働災害動向調査(度数率・強度率)
労働災害事例
労働災害事例のトップへ
労働災害事例集
死亡災害データベース
労働災害(死傷)データベース
ヒヤリ・ハット事例集
機械災害データベース
各種教材・ツール
化学物質
化学物質のトップへ
安衛法名称公表化学物質等
GHS対応モデルラベル・モデルSDS情報
GHS対応モデルラベル作成法
化学物質による災害事例集
化学物質のリスクアセスメント実施支援
その他の情報はこちら
(化学物質のトップへ)
ホーム
>
安衛法名称公表化学物質等
> 検索結果ページ
安衛法名称公表化学物質等 検索結果
JavaScript機能を有効にしてご利用下さい。
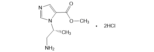
メチル=1−[(2
S
)−1−アミノプロパン−2−イル]−1
H
−イミダゾ
ール−5−カルボキシラート―塩化水素(1/2)
化学物質名
メチル=1−[(2
S
)−1−アミノプロパン−2−イル]−1
H
−イミダゾ
ール−5−カルボキシラート―塩化水素(1/2)
構造別分類コード番号
F70511322962
化学式、構造式
(マウス左クリックで拡大します。)
安衛法(官報)通し番号
32603
安衛法(官報)公示整理番号
8-(2)-3093
安衛法(官報)公示時期
令和08年3月27日
化審法官報公示整理番号
−
CAS番号
2703754-37-2
出典
厚生労働省
NO.127344
アンケートにご協力下さい。
化学物質(更新情報)
新規化学物質関連手続きの方法
安衛法名称公表化学物質等
GHSモデルラベル・SDS情報
GHSモデルラベル作成法
国際表示マーク(GHSとは)
強い変異原性が認められた化学物質
がん原性に係る指針対象物質
リスク評価実施物質
化学物質による災害事例
がん原性試験実施結果
変異原性試験
(エームス・染色体異常)
結果
中期発がん性試験実施結果
濃度基準値等
がん原性物質
皮膚等障害化学物質
有害性・GHS関係用語解説