職場のあんぜんサイト

安衛法名称公表化学物質等

安衛法名称公表化学物質等 検索結果

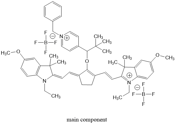
4−tert−ブチル−9−エチル−6−[(1−エチル−5−メトキシ
−3,3−ジメチル−1,3−ジヒドロ−2−インドール−2−イリデン)
エチリデン]−9−メトキシ−9,9−ジメチル−9−5−オキサ
−9(2)−インドラ−3(1,4)−ピリジナ−1(1)−ベンゼナ−6(
1,2)−シクロペンタナノナファン−6(6),7−ジエン−3,9
−ジイウム=ジブロミドと4−tert−ブチル−9−エチル−6−[
(1−エチル−5−メトキシ−3,3−ジメチル−1,3−ジヒドロ−2
インドール−2−イリデン)エチリデン]−9−メトキシ−9,9−ジ
メチル−9−5−オキサ−9(2)−インドラ−3(1,4)−ピリジナ
−1(1)−ベンゼナ−6(1,2)−シクロペンタナノナファン−6(6
),7−ジエン−3,9−ジイウム=ビス(テトラフルオロボラヌイド
)(主成分)と4−tert−ブチル−9−エチル−6−[(1−エチル
−5−メトキシ−3,3−ジメチル−1,3−ジヒドロ−2−インドール−
2−イリデン)エチリデン]−9−メトキシ−9,9−ジメチル−9
−5−オキサ−9(2)−インドラ−3(1,4)−ピリジナ−1(1)−
ベンゼナ−6(1,2)−シクロペンタナノナファン−6(6),7−ジ
エン−3,9−ジイウム=ブロミド=テトラフルオロボラヌイドの混合物
化学物質名 4−tert−ブチル−9−エチル−6−[(1−エチル−5−メトキシ
−3,3−ジメチル−1,3−ジヒドロ−2−インドール−2−イリデン)
エチリデン]−9−メトキシ−9,9−ジメチル−9−5−オキサ
−9(2)−インドラ−3(1,4)−ピリジナ−1(1)−ベンゼナ−6(
1,2)−シクロペンタナノナファン−6(6),7−ジエン−3,9
−ジイウム=ジブロミドと4−tert−ブチル−9−エチル−6−[
(1−エチル−5−メトキシ−3,3−ジメチル−1,3−ジヒドロ−2
インドール−2−イリデン)エチリデン]−9−メトキシ−9,9−ジ
メチル−9−5−オキサ−9(2)−インドラ−3(1,4)−ピリジナ
−1(1)−ベンゼナ−6(1,2)−シクロペンタナノナファン−6(6
),7−ジエン−3,9−ジイウム=ビス(テトラフルオロボラヌイド
)(主成分)と4−tert−ブチル−9−エチル−6−[(1−エチル
−5−メトキシ−3,3−ジメチル−1,3−ジヒドロ−2−インドール−
2−イリデン)エチリデン]−9−メトキシ−9,9−ジメチル−9
−5−オキサ−9(2)−インドラ−3(1,4)−ピリジナ−1(1)−
ベンゼナ−6(1,2)−シクロペンタナノナファン−6(6),7−ジ
エン−3,9−ジイウム=ブロミド=テトラフルオロボラヌイドの混合物
構造別分類コード番号 F60611111942
化学式、構造式

(マウス左クリックで拡大します。)

安衛法(官報)通し番号 32579
安衛法(官報)公示整理番号 8-(1)-4785
安衛法(官報)公示時期 令和08年3月27日
化審法官報公示整理番号
CAS番号 なし
出典 厚生労働省
NO.127320