職場のあんぜんサイト

安衛法名称公表化学物質等

安衛法名称公表化学物質等 検索結果

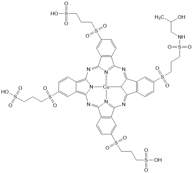
[2,9(又は10),16(又は17),23(又は24)−テトラキス(
3−スルホプロパン−1−スルホニル)フタロシアニン−29,31−ジイド
−κ29303132]銅と(2,9(又は10),16(
又は17)−トリス{3−[(2−ヒドロキシプロピル)スルファモイル]プ
ロパン−1−スルホニル}−23(又は24)−(3−スルホプロパン−1−
スルホニル)フタロシアニン−29,31−ジイド−κ2930
3132)銅と(2,9(又は10)−ビス{3−[(2−ヒドロキシプ
ロピル)スルファモイル]プロパン−1−スルホニル}−16(又は17),
23(又は24)−ビス(3−スルホプロパン−1−スルホニル)フタロシア
ニン−29,31−ジイド−κ29303132)銅と(2
,16(又は17)−ビス{3−[(2−ヒドロキシプロピル)スルファモイ
ル]プロパン−1−スルホニル}−9(又は10),23(又は24)−ビス
(3−スルホプロパン−1−スルホニル)フタロシアニン−29,31−ジイ
ド−κ29303132)銅と(2−{3−[(2−ヒドロ
キシプロピル)スルファモイル]プロパン−1−スルホニル}−9(又は10
),16(又は17),23(又は24)−トリス(3−スルホプロパン−1
−スルホニル)フタロシアニン−29,31−ジイド−κ2930
3132)銅(主成分)の混合物
化学物質名 [2,9(又は10),16(又は17),23(又は24)−テトラキス(
3−スルホプロパン−1−スルホニル)フタロシアニン−29,31−ジイド
−κ29303132]銅と(2,9(又は10),16(
又は17)−トリス{3−[(2−ヒドロキシプロピル)スルファモイル]プ
ロパン−1−スルホニル}−23(又は24)−(3−スルホプロパン−1−
スルホニル)フタロシアニン−29,31−ジイド−κ2930
3132)銅と(2,9(又は10)−ビス{3−[(2−ヒドロキシプ
ロピル)スルファモイル]プロパン−1−スルホニル}−16(又は17),
23(又は24)−ビス(3−スルホプロパン−1−スルホニル)フタロシア
ニン−29,31−ジイド−κ29303132)銅と(2
,16(又は17)−ビス{3−[(2−ヒドロキシプロピル)スルファモイ
ル]プロパン−1−スルホニル}−9(又は10),23(又は24)−ビス
(3−スルホプロパン−1−スルホニル)フタロシアニン−29,31−ジイ
ド−κ29303132)銅と(2−{3−[(2−ヒドロ
キシプロピル)スルファモイル]プロパン−1−スルホニル}−9(又は10
),16(又は17),23(又は24)−トリス(3−スルホプロパン−1
−スルホニル)フタロシアニン−29,31−ジイド−κ2930
3132)銅(主成分)の混合物
構造別分類コード番号 A38119400000
化学式、構造式

(マウス左クリックで拡大します。)

安衛法(官報)通し番号 32532
安衛法(官報)公示整理番号 1-(1)-847
安衛法(官報)公示時期 令和08年3月27日
化審法官報公示整理番号
CAS番号 なし
出典 厚生労働省
NO.127273