職場のあんぜんサイト

安衛法名称公表化学物質等

安衛法名称公表化学物質等 検索結果

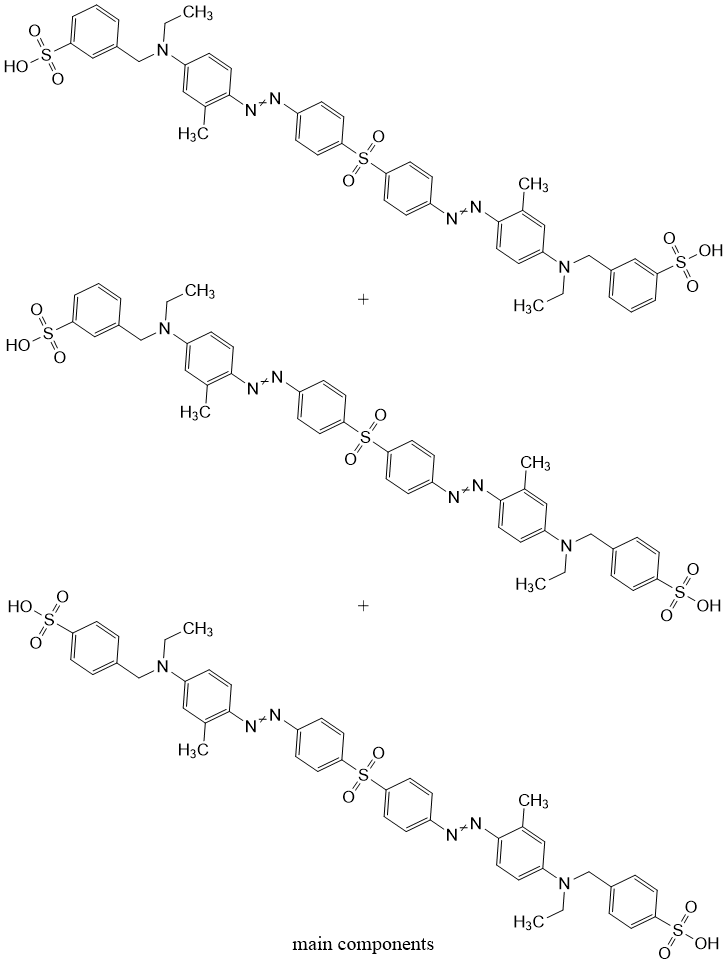
[3,13−ジエチル−4,12−ジメチル−8,8−ジオキソ−8λ
−チア−3,5,6,10,11,13−ヘキサアザ−1,15(1),4,
7,9,12(1,4)−ヘキサベンゼナペンタデカファン−5,10−ジエ
ン−1,15−ジスルホン酸と3,13−ジエチル−4,12−ジメ
チル−8,8−ジオキソ−8λ−チア−3,5,6,10,11,13−ヘ
キサアザ−1,15(1),4,7,9,12(1,4)−ヘキサベンゼナペ
ンタデカファン−5,10−ジエン−1,15−ジスルホン酸と3,13
−ジエチル−4,12−ジメチル−8,8−ジオキソ−8λ−チア−3
,5,6,10,11,13−ヘキサアザ−1,15(1),4,7,9,1
2(1,4)−ヘキサベンゼナペンタデカファン−5,10−ジエン−1
15−ジスルホン酸]を主成分とする、{3−[(−エチル−3−メチル
アニリノ)メチル]ベンゼン−1−スルホン酸と4−[(−エチル−3−メ
チルアニリノ)メチル]ベンゼン−1−スルホン酸と(4,4’−スルホニル
ジアニリンのジアゾ化反応生成物)の反応生成物}と塩化ナトリウムと3−[
−エチル−3−メチルアニリノ)メチル]ベンゼン−1−スルホン酸と4
−[(−エチル−3−メチルアニリノ)メチル]ベンゼン−1−スルホン酸
と炭酸二ナトリウムとナトリウム=1,4−ビス[(2−エチルヘキシル)オ
キシ]−1,4−ジオキソブタン−2−スルホナートと硫酸二ナトリウムの混
合物
化学物質名 [3,13−ジエチル−4,12−ジメチル−8,8−ジオキソ−8λ
−チア−3,5,6,10,11,13−ヘキサアザ−1,15(1),4,
7,9,12(1,4)−ヘキサベンゼナペンタデカファン−5,10−ジエ
ン−1,15−ジスルホン酸と3,13−ジエチル−4,12−ジメ
チル−8,8−ジオキソ−8λ−チア−3,5,6,10,11,13−ヘ
キサアザ−1,15(1),4,7,9,12(1,4)−ヘキサベンゼナペ
ンタデカファン−5,10−ジエン−1,15−ジスルホン酸と3,13
−ジエチル−4,12−ジメチル−8,8−ジオキソ−8λ−チア−3
,5,6,10,11,13−ヘキサアザ−1,15(1),4,7,9,1
2(1,4)−ヘキサベンゼナペンタデカファン−5,10−ジエン−1
15−ジスルホン酸]を主成分とする、{3−[(−エチル−3−メチル
アニリノ)メチル]ベンゼン−1−スルホン酸と4−[(−エチル−3−メ
チルアニリノ)メチル]ベンゼン−1−スルホン酸と(4,4’−スルホニル
ジアニリンのジアゾ化反応生成物)の反応生成物}と塩化ナトリウムと3−[
−エチル−3−メチルアニリノ)メチル]ベンゼン−1−スルホン酸と4
−[(−エチル−3−メチルアニリノ)メチル]ベンゼン−1−スルホン酸
と炭酸二ナトリウムとナトリウム=1,4−ビス[(2−エチルヘキシル)オ
キシ]−1,4−ジオキソブタン−2−スルホナートと硫酸二ナトリウムの混
合物
構造別分類コード番号 C66291244539
化学式、構造式

(マウス左クリックで拡大します。)

安衛法(官報)通し番号 32344
安衛法(官報)公示整理番号 4-(5)-738
安衛法(官報)公示時期 令和07年12月26日
化審法官報公示整理番号
CAS番号 なし
出典 厚生労働省
NO.127085