職場のあんぜんサイト

安衛法名称公表化学物質等

安衛法名称公表化学物質等 検索結果

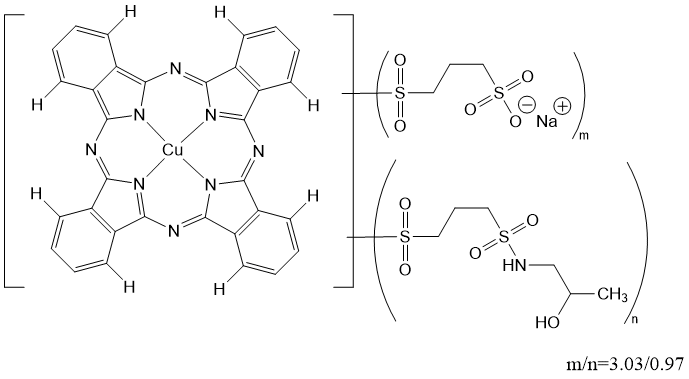
[2,9(又は10),16(又は17),23(又は24)−テトラキス(
3−スルホナトプロパン−1−スルホニル)フタロシアニン−29,31−ジ
イド−κ29303132]銅酸(4−)四ナトリウムと(
2,9(又は10),16(又は17)−トリス{3−[(2−ヒドロキシプ
ロピル)スルファモイル]プロパン−1−スルホニル}−23(又は24)−
(3−スルホナトプロパン−1−スルホニル)フタロシアニン−29,31−
ジイド−κ29303132)銅酸(1−)ナトリウムと(
2,9(又は10)−ビス{3−[(2−ヒドロキシプロピル)スルファモイ
ル]プロパン−1−スルホニル}−16(又は17),23(又は24)−ビ
ス(3−スルホナトプロパン−1−スルホニル)フタロシアニン−29,31
−ジイド−κ29303132)銅酸(2−)二ナトリウム
と(2,16(又は17)−ビス{3−[(2−ヒドロキシプロピル)スルフ
ァモイル]プロパン−1−スルホニル}−9(又は10),23(又は24)
−ビス(3−スルホナトプロパン−1−スルホニル)フタロシアニン−29,
31−ジイド−κ29303132)銅酸(2−)二ナトリ
ウムと(2−{3−[(2−ヒドロキシプロピル)スルファモイル]プロパン
−1−スルホニル}−9(又は10),16(又は17),23(又は24)
−トリス(3−スルホナトプロパン−1−スルホニル)フタロシアニン−29
,31−ジイド−κ29303132)銅酸(3−)三ナト
リウム(主成分)の混合物
化学物質名 [2,9(又は10),16(又は17),23(又は24)−テトラキス(
3−スルホナトプロパン−1−スルホニル)フタロシアニン−29,31−ジ
イド−κ29303132]銅酸(4−)四ナトリウムと(
2,9(又は10),16(又は17)−トリス{3−[(2−ヒドロキシプ
ロピル)スルファモイル]プロパン−1−スルホニル}−23(又は24)−
(3−スルホナトプロパン−1−スルホニル)フタロシアニン−29,31−
ジイド−κ29303132)銅酸(1−)ナトリウムと(
2,9(又は10)−ビス{3−[(2−ヒドロキシプロピル)スルファモイ
ル]プロパン−1−スルホニル}−16(又は17),23(又は24)−ビ
ス(3−スルホナトプロパン−1−スルホニル)フタロシアニン−29,31
−ジイド−κ29303132)銅酸(2−)二ナトリウム
と(2,16(又は17)−ビス{3−[(2−ヒドロキシプロピル)スルフ
ァモイル]プロパン−1−スルホニル}−9(又は10),23(又は24)
−ビス(3−スルホナトプロパン−1−スルホニル)フタロシアニン−29,
31−ジイド−κ29303132)銅酸(2−)二ナトリ
ウムと(2−{3−[(2−ヒドロキシプロピル)スルファモイル]プロパン
−1−スルホニル}−9(又は10),16(又は17),23(又は24)
−トリス(3−スルホナトプロパン−1−スルホニル)フタロシアニン−29
,31−ジイド−κ29303132)銅酸(3−)三ナト
リウム(主成分)の混合物
構造別分類コード番号 A38119400000
化学式、構造式

(マウス左クリックで拡大します。)

安衛法(官報)通し番号 32063
安衛法(官報)公示整理番号 1-(1)-841
安衛法(官報)公示時期 令和07年6月27日
化審法官報公示整理番号
CAS番号
出典 厚生労働省
NO.126804