| 1.化学品等及び会社情報 | |||
|---|---|---|---|
| 化学品の名称 | エチレンジアミン四酢酸四ナトリウム | ||
| 化学品の英語名称 | Tetrasodium ethylenediaminetetraacetate | ||
| 製品コード | R06-C-049-JNIOSH | ||
| 供給者の会社名 | ○○○○株式会社 | ||
| 住所 | 東京都△△区△△町△丁目△△番地 | ||
| 電話番号 | 03-1234-5678 | ||
| ファクシミリ番号 | 03-1234-5678 | ||
| 電子メールアドレス | 連絡先@検セ.or.jp | ||
| 緊急連絡電話番号 | 03-1234-5678 | ||
| 推奨用途及び使用上の制限 | キレート化剤(NITE-CHRIPより引用) | ||
| 2.危険有害性の要約 | |||
|---|---|---|---|
| GHS分類 | |||
| 分類実施日 (物化危険性及び健康有害性) | 令和6年度(2024年度)、ガイダンスVer.2.1 (GHS 6版, JIS Z7252:2019) ※一部、平成22年度(2010年度)、ガイダンス(H22.7版) (GHS 3版, JIS Z 7252:2009) | ||
| 物理化学的危険性 | - | ||
| 健康に対する有害性 | 急性毒性 (経口) | 区分4 | |
| 眼に対する重篤な損傷性/眼刺激性 | 区分2A | ||
| 特定標的臓器毒性 (単回ばく露) | 区分2(全身毒性) | ||
| 分類実施日 (環境有害性) | 平成30年度(2018年度)、ガイダンスVer.1.1 (GHS 4版, JIS Z7252:2014) | ||
| 環境に対する有害性 | - | ||
| GHSラベル要素 | |||
|---|---|---|---|
| 絵表示 | ![]() ![]() | ||
| 注意喚起語 | 警告 | ||
| 危険有害性情報 | 飲み込むと有害 強い眼刺激 全身毒性のおそれ | ||
| 注意書き | |||
| 安全対策 | 取扱い後はよく手を洗うこと。 この製品を使用するときに、飲食又は喫煙をしないこと。 保護手袋/保護衣/保護眼鏡/保護面を着用すること。 粉じん/煙/ガス/ミスト/蒸気/スプレーを吸入しないこと。 | ||
| 応急措置 | 飲み込んだ場合:直ちに医師に連絡すること。 特別な処置が必要である(このラベルの・・・を見よ)。 注) ”・・・”は、ラベルに解毒剤等中毒時の情報提供を受けるための連絡先などが記載されている場合のものです。ラベル作成時には、”・・・”を適切に置き換えてください。 口をすすぐこと。 眼に入った場合:水で数分間注意深く洗うこと。次にコンタクトレンズを着用していて容易に外せる場合は外すこと。その後も洗浄を続けること。 眼の刺激が続く場合:医師の診察/手当てを受けること。 ばく露又はばく露の懸念がある場合:医師に連絡すること。 | ||
| 保管 | 施錠して保管すること。 | ||
| 廃棄 | 内容物/容器を都道府県知事の許可を受けた専門の廃棄物処理業者に依頼して廃棄すること。 | ||
| 他の危険有害性 | 情報なし | ||
| 3.組成及び成分情報 | |||
|---|---|---|---|
| 化学物質・混合物の区別 | 化学物質 | ||
| 化学名又は一般名 | エチレンジアミン四酢酸四ナトリウム | ||
| 慣用名又は別名 | 四ナトリウム=2,2’,2’’,2’’’−(エチレンジニトリロ)テトラアセタート エチレンジアミン四酢酸四ナトリウム塩 | ||
| 英語名 | Tetrasodium ethylenediaminetetraacetate | ||
| 濃度又は濃度範囲 | 情報なし | ||
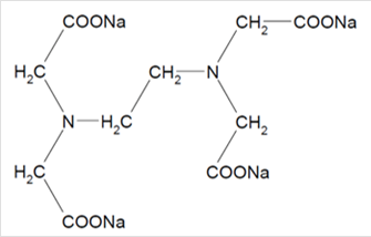
| 分子式 (分子量) | C10H12N2Na4O8 (380) | ||
| 化学特性 (示性式又は構造式) | ![]() | ||
| CAS番号 | 64-02-8 | ||
| 官報公示整理番号 (化審法) | 2-1265 | ||
| 官報公示整理番号 (安衛法) | - | ||
| GHS分類に寄与する成分(不純物及び安定化添加物も含む) | - | ||
| 4.応急措置 | |||
|---|---|---|---|
| 吸入した場合 | 意識がないが呼吸がある場合は、横向きに安定した姿勢で寝かせ、低体温症から保護する。 気分が悪い時や呼吸に関する症状が現れた場合は、医師の診察/手当てを受けること。 呼吸困難な場合は酸素吸入をさせる。 医師に連絡すること。 以上、GESTIS、ICSC参照。 | ||
| 皮膚に付着した場合 | 直ちに汚染された衣類を全て脱ぐこと。 直ちに皮膚に付着した部分を流水またはシャワーで少なくとも10〜20分間洗浄する。 刺激の場合: 治療を手配する。 以上、GESTIS参照。 | ||
| 眼に入った場合 | 流水で10分間、患部の眼を広く広げたまぶたですすぐ。 眼の刺激が続く場合は医師の診察/手当てを受けること。 以上、GESTIS、ICSC参照。 | ||
| 飲み込んだ場合 | 口をすすぎ、液体を吐き出す。 意識がある場合は、コップ1〜2杯の水を飲ませる。 自然嘔吐の場合は、嘔吐物が呼吸器に侵入するのを防ぐため、頭を胸より低くし、うつぶせの姿勢にする。 以上、GESTIS参照。 | ||
| 急性症状及び遅発性症状の最も重要な徴候症状 | 急性:眼への強い刺激、皮膚へのわずかな刺激、一般的な健康への障害、カルシウム枯渇に起因する影響。 慢性:金属代謝との干渉、腎臓障害。 以上、GESTIS、ICSC参照。 | ||
| 応急措置をする者の保護に必要な注意事項 | 救助者は、状況に応じて適切な眼、皮膚の保護具を着用する。 | ||
| 医師に対する特別な注意事項 | 情報なし | ||
| 5.火災時の措置 | |||
|---|---|---|---|
| 適切な消火剤 | 水噴霧、耐アルコール泡消火剤、粉末消火薬剤、乾式消火剤、二酸化炭素 以上、GESTIS、ICSC参照。 | ||
| 使ってはならない消火剤 | 火災が周辺に広がる恐れがあるため、直接の棒状注水を避ける。 | ||
| 特有の危険有害性 | 火災の場合、有害物質(亜硝酸ガス、一酸化炭素と二酸化炭素、金属酸化物ヒューム)が放出される可能性がある。 以上、GESTIS参照。 | ||
| 特有の消火方法 | 突然の放出や大量の粉じんの発生に備えて、直ちに避難する。 周囲の容器を水スプレーで冷却する。 可能であれば、容器を危険区域から移動する。 着火(発火)源を遮断する。 流出水が排水システムに入らないようにする。 以上、GESTIS参照。 | ||
| 消火を行う者の特別な保護具及び予防措置 | 消火作業の際は、適切な自給式の呼吸器用保護具、眼や皮膚を保護する防護服 (耐熱性) を着用する。 以上、GESTIS参照。 | ||
| 6.漏出時の措置 | |||
|---|---|---|---|
| 人体に対する注意事項、保護具及び緊急措置 | 影響を受ける周囲に警告する。 個人用保護具を着用すること(「個人用保護具」の章を参照)。 周囲を換気し、こぼれた場所を洗う。 以上、GESTIS参照。 | ||
| 環境に対する注意事項 | 可能であれば、閉じた装置を使用する。 容器とパイプラインにラベルを貼る。 水、排水、下水、または地中への浸透を防ぐ。 以上、GESTIS参照。 | ||
| 封じ込め及び浄化の方法及び機材 | リサイクルの方法がない場合は、それぞれの地域の規制に従って廃棄する必要がある。 固体有機残留物の容器に収集する。 収集容器には、内容物の説明がされているラベルを貼る。容器は換気の良い場所に保管する。それらを適切な当局に委託して処分する。 以上、GESTIS、ICSC参照。 | ||
| 二次災害の防止策 | 情報なし | ||
| 7.取扱い及び保管上の注意 | |||
|---|---|---|---|
| 取扱い | |||
| 技術的対策 | 「8. ばく露防止及び保護措置」に記載の措置を行い、必要に応じて保護具を着用する 粉じんの形成を避ける。避けられない粉じんの発生は、定期的に収集する必要がある。 掃除中に粉じんを起こさないこと。 清掃にブロワーを使用しない。 以上、GESTIS参照。 | ||
| 安全取扱い注意事項 | 作業場所を清潔に保つ。 この物質は、作業の進行に必要な量を超えて持ち込まない。 容器を開いたままにしない。 補充、移し替え、または開放使用のためには、十分な換気を確保する必要がある。 こぼれないようにする。 ラベルの付いた容器にのみ入れる。 取り扱うときは、この物質との接触を避ける。 粉じんが舞い上がるのを避ける。 粉じん爆発の危険性。 以上、GESTIS参照。 | ||
| 接触回避 | 感染性、放射性、爆発性の物質。 強酸化性物質。 可燃性液体。 自然発火性物質。 水と接触した場合、可燃性ガスを放出する物質。 硝酸アンモニウム及び硝酸アンモニウムを含有する製剤 有機過酸化物および自己反応性物質。 可燃性および非可燃性の急性毒性物質。 危険な化学反応が起こりうる物質と一緒に保管しない。 以上、GESTIS参照。 | ||
| 衛生対策 | 飲食禁止。 眼、皮膚、衣類への接触を避けること。眼に入った場合は洗い流す。 粉じん/煙/ガス/ミスト/蒸気/スプレーの吸入を避けること。 汚染された衣類を再使用する場合には洗濯をすること。 使用後は手を洗うこと。 以上、GESTIS参照。 | ||
| 保管 | |||
| 安全な保管条件 | 食品容器は使用しない。 容器にラベルを貼付する。 できるだけ元の容器に保管する。 容器は、涼しく乾燥した換気の良い場所で密閉して保管する。 以上、GESTIS参照。 | ||
| 安全な容器包装材料 | 不適切な材料:アルミニウム 以上、GESTIS参照。 | ||
| 8.ばく露防止及び保護措置 | ||||
|---|---|---|---|---|
| 許容濃度については日本産衛学会の「許容濃度の勧告」及びACGIHの「TLVs and BEIs」について記載しています。 | ||||
| 管理濃度 | - | |||
| 濃度基準値 | ||||
| 八時間濃度基準値 | - | |||
| 短時間濃度基準値 | - | |||
| 許容濃度 | ||||
| 日本産衛学会 (2024年度版) | - | |||
| ACGIH (2024年版) | - | |||
| 設備対策 | 粉じんが発生する作業所においては、必ず密閉された装置、機器または局所換気装置を使用する。 作業場は換気をする。 床に排水口を作らない。 洗浄設備を設置する。 洗眼設備を設置する。標識を付ける。 物質を大量に取り扱う場合は、非常用シャワーを設置する。 以上、GESTIS参照。 | |||
| 保護具 | ||||
| 呼吸用保護具 | 緊急時には、呼吸保護具を着用する。 フィルター装置の使用限界を超える濃度、18%未満の酸素濃度、または不明な状況では使用しない。 以上、GESTIS参照。 | |||
| 手の保護具 | 必要に応じて適切な不浸透性の保護手袋を使用すること。 耐性のある保護手袋の使用を推奨する。 ポリクロロプレン、ニトリルゴム、ブチルゴム、FKM、およびポリ塩化ビニルは、未溶解の固形物から保護するための手袋材料として適している。 以上、GESTIS参照。 | |||
| 眼の保護具 | 必要に応じて安全眼鏡、保護面、安全ゴーグルなどの眼用保護具を着用する。 以上、GESTIS参照。 | |||
| 皮膚及び身体の保護具 | 身体の保護リスクに応じて、適切な防護服または適切な化学防護服を着用する。 以上、GESTIS参照。 | |||
| 9.物理的及び化学的性質 | |||
|---|---|---|---|
| 物理的状態 | |||
| 物理状態 | 固体 | ||
| 色 | 白色 | ||
| 臭い | データなし | ||
| 融点/凝固点 | 300 ℃ (分解) (HSDB in PubChem (2024)) > 300 ℃ (SIAR_Summary Risk Assessment Report (2004)) | ||
| 沸点、初留点及び沸騰範囲 | データなし | ||
| 可燃性 | 可燃性 (GESTIS (2024))、(ICSC (2006)) | ||
| 爆発下限界及び爆発上限界/可燃限界 | データなし | ||
| 引火点 | > 100 ℃ (GESTIS (2024)) | ||
| 自然発火点 | > 200 ℃ (ICSC (2006)) > 200 ℃ (GESTIS (2024)) 200 ℃ (SIAR_Summary Risk Assessment Report (2004)) | ||
| 分解温度 | 300 ℃ (HSDB in PubChem (2024)) > 200 ℃ (ICSC (2006)) > 150 ℃ (GESTIS (2024)) | ||
| pH | データなし | ||
| 動粘性率 | データなし | ||
| 溶解度 | 水:500 g/L (20℃) 水に溶けやすい (HSDB in PubChem (2024)) 水:100〜110 g/100 mL (20℃) (ICSC (2006)) エタノール: わずかに溶ける (HSDB in PubChem (2024)) | ||
| n-オクタノール/水分配係数 | log Pow:5.01 (計算値) (ICSC (2006)) | ||
| 蒸気圧 | データなし | ||
| 密度及び/又は相対密度 | 6.9 ポンド/ガロン (見かけの密度) (HSDB in PubChem (2024)) 0.7 (水=1) (ICSC (2006)) 0.71 (SIAR_Summary Risk Assessment Report (2004)) | ||
| 相対ガス密度 | データなし | ||
| 粒子特性 | データなし | ||
| 10.安定性及び反応性 | |||
|---|---|---|---|
| 反応性 | 物質は可燃性である。 粉じん状の分布や使用量により粉じん爆発のおそれがある場合は、発生防止、発火防止、建設的防爆による対策が必要となる場合がある。 以上、GESTIS参照。 | ||
| 化学的安定性 | 通常の取扱い条件下では安定である。 | ||
| 危険有害反応可能性 | 粉末や顆粒状で空気と混合すると、粉じん爆発の可能性がある。 加熱により分解する 窒素酸化物などの有毒なフュームを生じる。 可燃性。 火災時に、刺激性あるいは有毒なフュームやガスを放出する。 空気中で粒子が細かく拡散して、爆発性の混合気体を生じる。 以上、GESTIS、ICSC参照。 | ||
| 避けるべき条件 | 発火源(火気、加熱、高温、静電気、火花など)に近づけないこと。 | ||
| 混触危険物質 | 酸化剤、還元剤等 | ||
| 危険有害な分解生成物 | 火災の場合、有害物質(亜硝酸ガス、一酸化炭素と二酸化炭素、金属酸化物ヒューム)が放出される可能性がある。 以上、GESTIS参照。 | ||
| 11.有害性情報 | ||||
|---|---|---|---|---|
| 急性毒性 | ||||
| 経口 | List 1のデータとして5件のラットのLD50値(2700、3200、1700、1780-1913、1210-2150mg/kg)(EU-RAR(2004))が対象となり、2件が区分4、2件が区分に該当しない(国連分類基準の区分5)、1件が区分4または区分5に該当し、区分4と区分に該当しないが同数となったため、危険性の高い方の区分4を採用した。 | |||
| 経皮 | データなし。 | |||
| 吸入: ガス | GHSの定義における固体である。 | |||
| 吸入: 蒸気 | データなし。 | |||
| 吸入: 粉じん及びミスト | データ不足。なお、ラットを用い、粉塵として8時間ばく露して死亡の発生はなかった(EU-RAR(2004))とあるが、ばく露濃度が不明である。 | |||
| 皮膚腐食性及び皮膚刺激性 | ウサギに80%水溶液を4時間適用した試験(OECD TG 404)で、適用後24、48、72時間における紅斑の平均スコアはそれぞれ1、0、0.3であり、8日後には消失、浮腫は認められなかったとの結果(EU-RAR(2004))に基づき区分に該当しないとした。なお、ウサギに80%水溶液を20時間適用した別の試験では、24時間後に重度の紅斑、8日後に落屑が観察されたが、浮腫は認められなかった(EU-RAR(2004))。 | |||
| 眼に対する重篤な損傷性又は眼刺激性 | 【分類根拠】 (1) 〜 (3) より、区分2Aとした。なお、新たな知見に基づき、分類結果を変更した (2024年度) 。 【根拠データ】 (1) ウサギ (n= 2) を用いた眼刺激性試験 (原体50 mg、非洗浄、8日間観察) において、2例とも観察期間中、眼にグリース (高脂肪油) 様の層がみられた。24時間後の結膜スコアは1例では24時間後にスコア1と判定されたが、7日以内に回復した。他の1例では24及び72時間後に結膜スコア1と判定され、その後7日まで観察されなかったが、観察終了日 (8日目) に再出現した (スコア1) 。24/48/72hの全体の平均スコア (フルスコア) は角膜混濁1.3 (4) 、虹彩スコア0 (2) 、結膜発赤1 (3) 及び結膜浮腫0.8 (4) であった。角膜混濁も8日間の観察期間内には消失しなかった (EU RAR (2004)、ECHA CHEM (Accessed May 2024)) 。 (2)(1) に先行した同様の試験でも眼刺激性がみられ、2試験結果より本物質はウサギの眼に重度の刺激性を有すると結論された (EU RAR (2004)) 。 (3) 本物質の40%希釈液をウサギの眼に適用した2つの眼刺激性試験のうち、1試験 (0.1 mL適用、n= 3) では強い刺激性がみられている。24/48/72hの平均スコア (個体別:#1/#2/#3) は角膜混濁 (0.7/1/0.7) 、虹彩病変 (1/1/1) 、結膜発赤 (2.7/2.3/2.7) 、結膜浮腫 (2/2/3) であった。回復性については不明である (同上) 。 【参考データ等】 (4) EUではEye Dam. 1に分類されている (CLP分類 (Accessed May 2024)) 。 | |||
| 呼吸器感作性 | データなし。 | |||
| 皮膚感作性 | データ不足。なお、再発性の下腿潰瘍を有する78歳女性が当該物質の水溶液に2回の接触で陽性反応を示した(EU-RAR(2004))とする報告がある。 | |||
| 生殖細胞変異原性 | in vivo試験のデータがないので分類できない。なお、in vitro試験としてはエームス試験で陰性(HSDB(2004))、また、CHO細胞を用いた染色体異常試験およびシリアンハムスターの胚細胞を用いた形質変換試験でいずれも陰性の結果(IUCLID(2000))が報告されている。 | |||
| 発がん性 | データなし。 | |||
| 生殖毒性 | ラットを用い妊娠7〜14日に経口投与した発生毒性試験で、母動物が下痢、行動低下、体重増加抑制など一般毒性を示したが、着床後胚損失による胎児死亡率、同腹仔数、胎仔重量には対照群と比べ有意な差はなく、胎仔の外表、内臓、骨格検査においても催奇形性を示す証拠は見出されなかった(EU-RAR(2004))。しかし、親動物の性機能・生殖能に及ぼす影響についてはデータがなく、不明のため「分類できない」とした。 | |||
| 特定標的臓器毒性 (単回ばく露) | ラットを用いた複数の急性経口毒性試験(LD50: 1210〜3200 mg/kg)のデータがあり、最も顕著な症状として呼吸困難、運動失調、歩行異常、振戦、立毛、死亡例の剖検では胃腺部の赤色化と出血性潰瘍、腸粘膜の赤色化、全身性充血、腸の弛緩が報告されている(EU-RAR(2004))。上記の所見から標的臓器の特定は困難と判断され、また、影響はガイダンス値区分2相当の用量以上で認められているので区分2(全身毒性)とした。 | |||
| 特定標的臓器毒性 (反復ばく露) | データなし。 | |||
| 誤えん有害性* | データなし。 | |||
| * JIS Z7252の改訂により吸引性呼吸器有害性から項目名が変更となった。 | ||||
| 12.環境影響情報 | |||
|---|---|---|---|
| 生態毒性 | |||
| 水生環境有害性 短期(急性) | 魚類 (ブルーギル)96時間LC50 =157 mg/L[121 H4EDTA mg/L換算値] (EU RAR: 2004)であることから、区分に該当しないとした。 | ||
| 水生環境有害性 長期(慢性) | 慢性毒性データを用いた場合、無機化合物につき環境中動態が不明であるが、甲殻類 (オオミジンコ)の21日間NOEC (繁殖、致死) =28 mg/L[22 H4EDTA mg/L(換算値)]、魚類(ゼブラフィッシュ)の35日間NOEC(影響不明) >35 mg/L[26.8 H4EDTA mg/L(換算値)](ともに、EU RAR:2004)であることから、区分に該当しないとなる。 慢性毒性データが得られていない栄養段階(藻類)に対する急性毒性データがないため、分類できないとなる。 以上の結果から、区分に該当しないとした。 | ||
| 残留性・分解性 | 情報なし | ||
| 生態蓄積性 | 情報なし | ||
| 土壌中の移動性 | 情報なし | ||
| オゾン層への有害性 | データなし | ||
| 13.廃棄上の注意 | |||
|---|---|---|---|
| 化学品(残余廃棄物)、当該化学品が付着している汚染容器及び包装の安全で、かつ、環境上望ましい廃棄、又はリサイクルに関する情報 | 廃棄においては、関連法規ならびに地方自治体の基準に従うこと。 都道府県知事などの許可を受けた産業廃棄物処理業者、もしくは地方公共団体がその処理を行っている場合にはそこに委託して処理する。 廃棄物の処理を委託する場合、処理業者等に危険性、有害性を十分告知の上処理を委託する。 容器は洗浄してリサイクルするか、関連法規制並びに地方自治体の基準に従って適切な処分を行う。 空容器を廃棄する場合は、内容物を完全に除去すること。 | ||
| 14.輸送上の注意 | ||||
|---|---|---|---|---|
| 本物質のGHS分類結果に基づく国際規制の分類等は、以下の通りと推定されるが、該否は製品によって異なる場合がある。輸送危険物の分類は、容器等級を含め、荷送人が責任をもって判断することとされているため、輸送の際には、個々の貨物について、製品の状態、形状等も考慮し、輸送モード (航空、船舶) を規制する法規に沿って事業者が判断する必要がある。 | ||||
| 国際規制 | ||||
| 国連番号 | 該当しない | |||
| 品名(国連輸送名) | 該当しない | |||
| 国連分類 | 該当しない | |||
| 副次危険 | 該当しない | |||
| 容器等級 | 該当しない | |||
| 海洋汚染物質 | 該当しない | |||
| MARPOL73/78附属書U及びIBCコードによるばら積み輸送される液体物質 | 該当しない | |||
| 国内規制 | ||||
| 海上規制情報 | 該当しない | |||
| 航空規制情報 | 該当しない | |||
| 陸上規制情報 | 該当しない | |||
| 特別な安全上の対策 | 該当しない | |||
| その他 (一般的) 注意 | 輸送に際しては、直射日光を避け、容器の破損、腐食、漏れのないように積み込み、荷崩れの防止を確実に行う。 重量物を上積みしない。 | |||
| 緊急時応急措置指針番号* | - | |||
| * 北米緊急時応急措置指針に基づく。米国運輸省が中心となって発行した「2024 Emengency Response Guidebook」に掲載されている。 | ||||
| 15.適用法令 | ||||
|---|---|---|---|---|
| 法規制情報は作成年月日時点に基づいて記載されております。事業場において記載するに当たっては、最新情報を確認してください。 | ||||
| 労働安全衛生法 | 名称等を表示すべき危険物及び有害物(法第57条第1項、施行令第18条、労働安全衛生規則別表第2)(令和8年4月1日以降)【275 エチレンジアミン四酢酸四ナトリウム】 名称等を通知すべき危険物及び有害物(法第57条の2、施行令第18条の2、労働安全衛生規則別表第2)(令和8年4月1日以降)【275 エチレンジアミン四酢酸四ナトリウム】 危険性又は有害性等を調査すべき物(法第57条の3)(令和8年4月1日以降) | |||
| 化学物質審査規制法 | 優先評価化学物質(法第2条第5項) 【268 2,2’,2’’,2’’’(エタン1,2ジイルジニトリロ)四酢酸のナトリウム塩】 | |||
| 化学物質排出把握管理促進法 (PRTR法) | 第一種指定化学物質(法第2条第2項、施行令第1条別表第1) 【80 エチレンジアミン四酢酸並びにそのカリウム塩及びナトリウム塩】 | |||
| 毒物及び劇物取締法 | - | |||
| 水道法 | 水質基準(平15省令101号) 【36 ナトリウム及びその化合物】 | |||
| 海洋汚染防止法 | 有害液体物質(Y類物質)(施行令別表第1) 【(105) エチレンジアミン四酢酸四ナトリウム塩溶液】 | |||
| 16.その他の情報 | ||||
|---|---|---|---|---|
| 参考文献 | ||||
| 9項、11項については各データ毎に記載。その他の各項については以下を参照。 ・NITE化学物質総合情報提供システム(NITE-CHRIP) ・International Chemical Safety Cards (ICSC) ・Hazardous Substances Data Bank (HSDB) ・GESTIS Substance database (GESTIS) ・2024 Emengency Response Guidebook ・一般社団法人日本化学工業協会 編「GHS対応ガイドライン ラベル及び表示・安全デ−タシ−ト作成指針」 ・厚生労働省「皮膚障害等防止用保護具の選定マニュアル第1版」 | ||||