| 1.化学品等及び会社情報 | |||
|---|---|---|---|
| 化学品の名称 | ビス(2−エチルヘキシル)=[(ジメチルスタンナンジイル)ビス(スルファンジイル)]ジアセタート(別名 ジメチルスズビス(メルカプト酢酸2-エチルヘキシル)) | ||
| 化学品の英語名称 | Bis(2−ethyl hexyl)=[(dimethyl stannandiyl)bis(sulfandiyl)]diacetate | ||
| 製品コード | R06-A-035-JNIOSH | ||
| 供給者の会社名 | ○○○○株式会社 | ||
| 住所 | 東京都△△区△△町△丁目△△番地 | ||
| 電話番号 | 03-1234-5678 | ||
| ファクシミリ番号 | 03-1234-5678 | ||
| 電子メールアドレス | 連絡先@検セ.or.jp | ||
| 緊急連絡電話番号 | 03-1234-5678 | ||
| 推奨用途及び使用上の制限 | - | ||
| 2.危険有害性の要約 | |||
|---|---|---|---|
| GHS分類 | |||
| 分類実施日 (物化危険性及び健康有害性) | 令和6年度(2024年度)、ガイダンスVer.2.1 (GHS 6版, JIS Z7252:2019) | ||
| 物理化学的危険性 | - | ||
| 健康に対する有害性 | 急性毒性 (経口) | 区分4 | |
| 皮膚感作性 | 区分1 | ||
| 生殖毒性 | 区分2 | ||
| 特定標的臓器毒性 (単回ばく露) | 区分1(神経系) | ||
| 特定標的臓器毒性 (反復ばく露) | 区分1(中枢神経系、免疫系) | ||
| 分類実施日 (環境有害性) | - | ||
| 環境に対する有害性 | 水生環境有害性 短期(急性) | - | |
| 水生環境有害性 長期(慢性) | - | ||
| GHSラベル要素 | |||
|---|---|---|---|
| 絵表示 | ![]() ![]() | ||
| 注意喚起語 | 危険 | ||
| 危険有害性情報 | 飲み込むと有害 アレルギー性皮膚反応を起こすおそれ 生殖能又は胎児への悪影響のおそれの疑い 神経系の障害 長期にわたる、又は反復ばく露による中枢神経系、免疫系の障害 | ||
| 注意書き | |||
| 安全対策 | 取扱い後はよく手を洗うこと。 この製品を使用するときに、飲食又は喫煙をしないこと。 汚染された作業衣は作業場から出さないこと。 保護手袋/保護衣/保護眼鏡/保護面を着用すること。 使用前に取扱説明書を入手すること。 全ての安全注意を読み理解するまで取り扱わないこと。 粉じん/煙/ガス/ミスト/蒸気/スプレーを吸入しないこと。 | ||
| 応急措置 | 飲み込んだ場合:直ちに医師に連絡すること。 特別な処置が必要である(このラベルの・・・を見よ)。 注) ”・・・”は、ラベルに解毒剤等中毒時の情報提供を受けるための連絡先などが記載されている場合のものです。ラベル作成時には、”・・・”を適切に置き換えてください。 口をすすぐこと。 皮膚に付着した場合:多量の水/石けん(鹸)で洗うこと。 皮膚刺激又は発しん(疹)が生じた場合:医師の診察/手当てを受けること。 汚染された衣類を脱ぎ、再使用する場合には洗濯をすること。 ばく露又はばく露の懸念がある場合:医師の診察/手当てを受けること。 気分が悪いときは、医師の診察/手当てを受けること。 | ||
| 保管 | 施錠して保管すること。 | ||
| 廃棄 | 内容物/容器を都道府県知事の許可を受けた専門の廃棄物処理業者に依頼して廃棄すること。 | ||
| 他の危険有害性 | 情報なし | ||
| 3.組成及び成分情報 | |||
|---|---|---|---|
| 化学物質・混合物の区別 | 化学物質 | ||
| 化学名又は一般名 | ビス(2−エチルヘキシル)=[(ジメチルスタンナンジイル)ビス(スルファンジイル)]ジアセタート | ||
| 慣用名又は別名 | ジメチルスズビス(メルカプト酢酸2-エチルヘキシル) | ||
| 英語名 | Bis(2−ethyl hexyl)=[(dimethyl stannandiyl)bis(sulfandiyl)]diacetate | ||
| 濃度又は濃度範囲 | 情報なし | ||
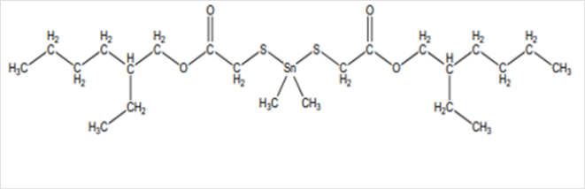
| 分子式 (分子量) | C22H44O4S2Sn (555) | ||
| 化学特性 (示性式又は構造式) | ![]() | ||
| CAS番号 | 57583-35-4 | ||
| 官報公示整理番号 (化審法) | 2-2244,2-3034 | ||
| 官報公示整理番号 (安衛法) | - | ||
| GHS分類に寄与する成分(不純物及び安定化添加物も含む) | - | ||
| 4.応急措置 | |||
|---|---|---|---|
| 吸入した場合 | 気分が悪い時は、医師の診断、手当てを受けること。 症状が続く場合には、医師に連絡すること。 | ||
| 皮膚に付着した場合 | 大量の水で洗うこと。症状が続く場合には、医師に連絡すること。 | ||
| 眼に入った場合 | 水で15〜20分間注意深く洗うこと。次に、コンタクトレンズを着用していて容易に外せる場合は外すこと。その後も洗浄を続けること。症状が続く場合には、医師に連絡すること。 | ||
| 飲み込んだ場合 | 水で口をすすぎ、直ちに医師の診断を受けること。 | ||
| 急性症状及び遅発性症状の最も重要な徴候症状 | 情報なし | ||
| 応急措置をする者の保護に必要な注意事項 | 救助者は、状況に応じて適切な眼、皮膚の保護具を着用する | ||
| 医師に対する特別な注意事項 | 情報なし | ||
| 5.火災時の措置 | |||
|---|---|---|---|
| 適切な消火剤 | 水噴霧、粉末消火剤、泡消火剤、二酸化炭素を使用する。 | ||
| 使ってはならない消火剤 | 火災が周辺に広がる恐れがあるため、直接の棒状注水を避ける。 | ||
| 特有の危険有害性 | 火災等の場合は、毒性の強い分解生成物が発生する可能性がある。 | ||
| 特有の消火方法 | 火元への燃焼源を断ち、消火剤を使用して消火する。 延焼の恐れのないよう水スプレーで周囲のタンク、建物等の冷却をする。 消火活動は風上から行う。 火災場所の周辺には関係者以外の立ち入りを規制する。 危険でなければ火災区域から容器を移動する。 | ||
| 消火を行う者の特別な保護具及び予防措置 | 消火作業の際は、適切な自給式の呼吸器用保護具、眼や皮膚を保護する防護服(耐熱性)を着用する。 | ||
| 6.漏出時の措置 | |||
|---|---|---|---|
| 人体に対する注意事項、保護具及び緊急措置 | 関係者以外の立ち入りを禁止する。 作業者は適切な保護具(「8.ばく露防止及び保護措置」の項を参照)を着用し、眼、皮膚への接触や吸入を避ける。 | ||
| 環境に対する注意事項 | 周辺環境に影響がある可能性があるため、製品の環境中への流出を避ける。 | ||
| 封じ込め及び浄化の方法及び機材 | 危険でなければ漏れを止める。 少量の場合、ウエス、雑巾等でよく拭き取り適切な廃棄容器に回収する。 大量の場合、盛土等で囲って流出を防止する。 | ||
| 二次災害の防止策 | 火花を発生しない安全な用具を使用する。 | ||
| 7.取扱い及び保管上の注意 | |||
|---|---|---|---|
| 取扱い | |||
| 技術的対策 | 「8.ばく露防止及び保護措置」に記載の措置を行い、必要に応じて保護具を着用する。 | ||
| 安全取扱い注意事項 | 機器類は防爆構造とし、設備は静電気対策を実施する。 周辺での高温物、スパーク、火気の使用を禁止する。 静電気放電に対する予防措置を講ずること。 使用前に特別な指示を受けてください。 ばく露または懸念がある場合:医師の診察を受けてること。 以上、GESTIS参照。 | ||
| 接触回避 | 酸化剤、還元剤等 | ||
| 衛生対策 | 取扱い後はよく手を洗うこと。 取扱いや保管場所の近傍での飲食の禁止。 | ||
| 保管 | |||
| 安全な保管条件 | 直射日光を避け、冷暗所に保管する。高温物を近づけない。 | ||
| 安全な容器包装材料 | 破損や漏れの無い密閉可能な容器を使用する。 | ||
| 8.ばく露防止及び保護措置 | ||||
|---|---|---|---|---|
| 許容濃度については日本産衛学会の「許容濃度の勧告」及びACGIHの「TLVs and BEIs」について記載しています。 | ||||
| 管理濃度 | - | |||
| 濃度基準値 | ||||
| 八時間濃度基準値 | - | |||
| 短時間濃度基準値 | - | |||
| 許容濃度 | ||||
| 日本産衛学会 (2024年度版) | - | |||
| ACGIH (2024年版) | TLV-TWA:0.1 mg/m3 (Tin, organic compounds, as Sn) TWA-STEL:0.2 mg/m3 (Tin, organic compounds, as Sn) | |||
| 設備対策 | 取り扱いの場所の近くに、洗眼および身体洗浄のための設備を設ける。 高温下や、ミストが発生する場合は換気装置を使用する。 | |||
| 保護具 | ||||
| 呼吸用保護具 | 必要に応じて保護マスクや呼吸用保護具を着用する。 | |||
| 手の保護具 | 手に接触する恐れがある場合、保護手袋を着用する。 | |||
| 眼の保護具 | 眼に入る恐れがある場合、保護眼鏡やゴーグルを着用する。 | |||
| 皮膚及び身体の保護具 | 必要に応じて保護衣、保護エプロン等を着用する。 | |||
| 9.物理的及び化学的性質 | |||
|---|---|---|---|
| 物理的状態 | |||
| 物理状態 | 液体 | ||
| 色 | 無色 | ||
| 臭い | データなし | ||
| 融点/凝固点 | -75〜-65 ℃ (MOE初期評価(2018)) | ||
| 沸点、初留点及び沸騰範囲 | ≧ 290 ℃ (分解) (ECHA CHEM(2024)) | ||
| 可燃性 | 可燃性 (GESTIS(2024)) | ||
| 爆発下限界及び爆発上限界/可燃限界 | データなし | ||
| 引火点 | 154〜158 ℃ (Closed cup) (GESTIS(2024)) | ||
| 自然発火点 | 233〜243 ℃ (GESTIS(2024)) | ||
| 分解温度 | データなし | ||
| pH | データなし | ||
| 動粘性率 | 66.3 mm2/s (20℃)(粘度) (ECHA CHEM(2024)) 28.2 mm2/s (40℃)(粘度) (ECHA CHEM(2024)) | ||
| 溶解度 | 水:4.51 mg/L (20℃) ほとんど溶けない (GESTIS(2024)) | ||
| n-オクタノール/水分配係数 | データなし | ||
| 蒸気圧 | 0.81 Pa (25℃) (GESTIS(2024)) | ||
| 密度及び/又は相対密度 | 1.18 g/cm3 (20℃) (GESTIS(2024)) | ||
| 相対ガス密度 | 19.81 (Air=1) (GESTIS(2024)) | ||
| 粒子特性 | データなし | ||
| 10.安定性及び反応性 | |||
|---|---|---|---|
| 反応性 | 通常の取扱い条件下では安定である。 | ||
| 化学的安定性 | 通常の取扱い条件下では安定である。 | ||
| 危険有害反応可能性 | 可燃性物質、難燃性。 以上、GESTIS参照。 | ||
| 避けるべき条件 | 火気、加熱、高温、静電気、火花、爆発性混合気の形成 直射日光を避け、冷暗所に保管する。 | ||
| 混触危険物質 | 酸化剤、還元剤等 | ||
| 危険有害な分解生成物 | 火災等の場合は、毒性の強い分解生成物が発生する可能性がある。 | ||
| 11.有害性情報 | ||||
|---|---|---|---|---|
| 急性毒性 | ||||
| 経口 | 【分類根拠】 (1)、(2)より区分4とした。 【根拠データ】 (1)ラットのLD50:1,150 mg/kg(OECD TG401、GLP)(ECHA CHEM (Accessed Oct. 2024)、RAC Opinion (2012)、AICIS IMAP (2018)) (2)ラットのLD50:1,710 mg/kg(ECHA CHEM (Accessed Oct. 2024)、AICIS IMAP (2018)) 【参考データ等】 (3)EUではAcute Tox. 4に分類されている(CLP分類 (Accessed Oct. 2024))。 | |||
| 経皮 | 【分類根拠】 (1)からは区分を特定できず、データ不足のため分類できない。 【参考データ等】 (1)ウサギのLD50:> 1,050 mg/kg(ECHA CHEM (Accessed Oct. 2024)、AICIS IMAP (2018)) | |||
| 吸入: ガス | 【分類根拠】 GHSの定義における液体であり、区分に該当しない。 | |||
| 吸入: 蒸気 | 【分類根拠】 データがなく分類できない。 | |||
| 吸入: 粉じん及びミスト | 【分類根拠】 データがなく分類できない。 | |||
| 皮膚腐食性及び皮膚刺激性 | 【分類根拠】 (1)より、皮膚刺激性は区分に該当しない(国連分類基準の区分3相当)と考えられる。 【根拠データ】 (1)ウサギ(n= 3)を用いた皮膚刺激性試験(OECD TG404、GLP:原液0.5 mL、4時間半閉塞、7日間観察)では、パッチ除去24及び48時間後に紅斑が無ないし明瞭にみられたが72時間後には無ないし軽微な紅斑にまで回復した。7日後に紅斑はみられなかった。また、浮腫が24及び48時間後に無から明瞭にみられたが、72時間後には消失した。本物質の皮膚刺激性は中程度と報告されたが、紅斑、浮腫ともに早期に軽減し7日以内に完全回復したことから、分類区分を付与するほど顕著な皮膚刺激性ではないと考えられた(ECHA CHEM (Accessed Oct. 2024)、AICIS IMAP (2018))。 【参考データ等】 (2)ウサギ(n= 6)を用いた皮膚刺激性試験(原液0.5 mL、24時間閉塞、72時間観察)では、パッチ除去24及び72時間後の観察で、一次刺激スコア2.6の皮膚刺激性がみられたが、皮膚組織損傷の証拠は認められなかった。軽微な(slight)刺激性と判断された(ECHA CHEM (Accessed Oct. 2024)、SIAR (2006)、AICIS IMAP (2018))。 | |||
| 眼に対する重篤な損傷性又は眼刺激性 | 【分類根拠】 (1)より区分に該当しない。 【根拠データ】 (1)ウサギ(n= 3)を用いた眼刺激性試験(OECD TG405、GLP:原液0.1 mL、24時間非洗浄、72時間観察)では、点眼後に結膜の炎症が3/3例にみられたが、24時間以内に消失した。24〜72時間後の平均スコアは全体スコア110に対し、角膜混濁、虹彩スコア、結膜スコア、結膜浮腫のいずれも0と報告されている(ECHA CHEM (Accessed Oct. 2024)、AICIS IMAP (2018))。 【参考データ等】 (2)ウサギ(n= 6)を用いた眼刺激性試験(原液0.1 mL、72時間観察)では、角膜、虹彩、結膜に重大な変化がみられたウサギは0/6匹で、個別のウサギにおける刺激性スコアは0〜2であった(ECHA CHEM (Accessed Oct. 2024)、SIAR (2006)、AICIS IMAP (2018))。 | |||
| 呼吸器感作性 | 【分類根拠】 データがなく分類できない。 | |||
| 皮膚感作性 | 【分類根拠】 (1)、(2)より区分1とした。 【根拠データ】 (1)モルモット(n=20)を用いたOptimization試験(感作:皮内(0.1%、0.1mL)×3回、皮下(FCAとの1:1混和液(0.1mL)×6回、惹起:皮内0.1 mL)で、惹起24時間後に陽性(雄4/10、雌7/10)の結果が得られた(ECHA CHEM (Accessed Oct. 2024)、RAC Opinion (2012)、AICIS IMAP (2018))。 (2)モルモット(n=20、対照群10)を用いたBuehler試験(局所感作:50%×3回、惹起:1%)では、惹起終了24及び48時間後の陽性率は0%であった(同上)。 【参考データ等】 (3)EUでは(1)のデータに基づきSkin Sens. 1Aに分類されている(RAC Opinion (2012)、CLP分類 (Accessed Oct. 2024))。 | |||
| 生殖細胞変異原性 | 【分類根拠】 in vivoのデータがなく、データ不足で分類できない。 【参考データ等】 (1)in vitroでは、細菌を用いた復帰突然変異試験(OECD TG471、GLP)(ECHA CHEM (Accessed Oct. 2024)、SIAR (2006)、AICIS IMAP (Accessed Oct. 2024))、及びヒト末梢血リンパ球を用いた染色体異常試験(OECD TG473、GLP)では、いずれも陰性(-/+ S9)であったが、チャイニーズハムスター卵巣(CHO)細胞を用いた遺伝子突然変異試験(OECD TG476、GLP)で弱陽性の結果(-/+ S9)が報告されている(ECHA CHEM (Accessed Oct. 2024))。 | |||
| 発がん性 | 【分類根拠】 データがなく分類できない。 | |||
| 生殖毒性 | 【分類根拠】 本物質自体のデータ(1)では発生毒性はみられていないが、EUにおいてリードアクロス評価に用いられたジメチルスズジクロリド(DMTC)の(2)、(3)の情報を踏まえ、区分2とした。 【根拠データ】 (1)ラットを用いた強制経口投与(5〜25 mg/kg/day、妊娠6〜20日)による発生毒性試験(OECD TG414、GLP)では、母動物毒性(摂餌量減少、補正体重増加量の減少)がみられる高用量(25 mg/kg/day)まで、胎児に発生影響は認められなかった(ECHA CHEM (Accessed Oct. 2024))。 (2)ジメチルスズジクロリド(DMTC)について、ラットを用いた強制経口投与(5〜20 mg/kg/day、妊娠7〜17日)による発生毒性試験では、母動物に死亡(2/10例)、体重増加抑制及び摂餌量低下が認められた最高用量(20 mg/kg/day)群において、全胚吸収雌が1/8例にみられ、胎児には口蓋裂が生存7腹中の5腹からの胎児に22%の頻度で認められた(MOE初期評価 (2018)、EU CLP CLH (2012))。 (3)DMTCについて、ラットを用いた経口(飲水)投与(3〜74 ppm:0.28〜12.2 mg/kg/day相当)、交配2週間前からF1の哺育期まで)による発達神経毒性試験では、児動物に脳重量減少、学習記憶能(水迷路)の低下、大脳及び小脳皮質のアポトーシス減少、脳の軽度空胞化等がみられた。(同上)。 【参考データ等】 (4)EUでは、本物質はDMTCからのリードアクロスによりRepr. 2に分類されている(CLP分類 (Accessed Oct. 2024))。 | |||
| 特定標的臓器毒性 (単回ばく露) | 【分類根拠】 (1)、(2)より区分1(神経系)とした。 【根拠データ】 (1)ウサギ(n= 6)を用いた皮膚刺激性試験(原液0.5 mL、24時間閉塞、72時間観察)では、パッチ除去48時間後には全例に振戦、四肢の協調運動障害がみられ、雌2/3匹が72時間以内に死亡した(ECHA CHEM (Accessed Oct. 2024)、SIAR (2006)、AICIS IMAP (2018))。 (2)ラットを用いた2つの単回経口投与試験では、区分2の用量範囲で死亡例が生じた(LD50:1,150 mg/kg、1,710 mg/kg)。1つ目の試験において投与後に抑うつ、昏睡、立毛、かすみ眼、円背姿勢、努力性呼吸、運動失調、糞尿汚染、被毛粗剛などがみられた(ECHA CHEM (Accessed Oct. 2024))。 | |||
| 特定標的臓器毒性 (反復ばく露) | 【分類根拠】 本物質自体のデータはないが、OECD SIDSでカテゴリーメンバーとして定義されたジメチルスズジクロリド (DMTC) の情報も加えて検討した。(1)、(2)より区分1(中枢神経系、免疫系)とした。 【根拠データ】 (1)本物質はOECD SIDSでカテゴリーメンバーとして定義されたジメチルスズジクロリド(DMTC:CAS登録番号 753-75-1)からのリードアクロスが行われた(本物質は胃内の酸性条件下で加水分解されほぼ全量がDMTCに変換されると考えられた)(SIAR (2006)、EU CLP CLH (2012))。 (2)DMTCとモノメチルスズトリクロリド(MTMC)の90:10混合物について、ラットを用いた13週間飲水経口投与試験では、区分1範囲の25及び75 ppm(1.6/2.2及び5.2/6.7 mg/kg/day)から中枢神経系影響として、脳と脊髄組織の空胞化、立ち上がり行動の減少、体温低下がみられ、75 ppmの雄1例が接触により過敏反応と振戦を誘発し死亡した。また、75 ppm群では胸腺のサイズ及び重量減少、リンパ組織の萎縮が認められ、免疫系も標的臓器と考えられた。なお、最高用量の200 ppm(15.5/19.5 mg/kg/day:区分2)では、死亡例が多発し、体重及び摂餌量の低下とともに神経毒性症状(失調性歩行、横臥、接触時の振戦、痙攣、興奮、過敏等)、神経組織の変化(脳室拡張、脳と脊髄ニューロンの壊死、白質空胞化)及び胸腺と脾臓のサイズ減少も認められた(EU CLP CLH (2012)、SIAR (2006)、MOE初期評価 (2018))。 【参考データ等】 (3)EUではSTOT RE1(中枢神経系、免疫系)に分類されている(CLP分類 (Accessed Oct. 2024))。 | |||
| 誤えん有害性* | 【分類根拠】 データ不足のため分類できない。 【参考データ等】 (1)40℃での動粘性率は28.2 mm2/sである(ECHA CHEM (Accessed Oct. 2024))。 | |||
| * JIS Z7252の改訂により吸引性呼吸器有害性から項目名が変更となった。 | ||||
| 12.環境影響情報 | |||
|---|---|---|---|
| 生態毒性 | |||
| 水生環境有害性 短期(急性) | - | ||
| 水生環境有害性 長期(慢性) | - | ||
| 残留性・分解性 | - | ||
| 生態蓄積性 | - | ||
| 土壌中の移動性 | - | ||
| オゾン層への有害性 | - | ||
| 13.廃棄上の注意 | |||
|---|---|---|---|
| 化学品(残余廃棄物)、当該化学品が付着している汚染容器及び包装の安全で、かつ、環境上望ましい廃棄、又はリサイクルに関する情報 | 廃棄においては、関連法規ならびに地方自治体の基準に従うこと。 都道府県知事などの許可を受けた産業廃棄物処理業者、もしくは地方公共団体がその処理を行っている場合にはそこに委託して処理する。 廃棄物の処理を委託する場合、処理業者等に危険性、有害性を十分告知の上処理を委託する。 容器は洗浄してリサイクルするか、関連法規制並びに地方自治体の基準に従って適切な処分を行う。 空容器を廃棄する場合は、内容物を完全に除去すること。 | ||
| 14.輸送上の注意 | ||||
|---|---|---|---|---|
| 本物質のGHS分類結果に基づく国際規制の分類等は、以下の通りと推定されるが、該否は製品によって異なる場合がある。輸送危険物の分類は、容器等級を含め、荷送人が責任をもって判断することとされているため、輸送の際には、個々の貨物について、製品の状態、形状等も考慮し、輸送モード (航空、船舶) を規制する法規に沿って事業者が判断する必要がある。 | ||||
| 国際規制 | ||||
| 国連番号 | 2788 | |||
| 品名(国連輸送名) | 有機スズ化合物、液体、他に品名が明示されていないもの | |||
| 国連分類 | 6.1 | |||
| 副次危険 | - | |||
| 容器等級 | I〜III | |||
| 海洋汚染物質 | 該当しない | |||
| MARPOL73/78附属書U及びIBCコードによるばら積み輸送される液体物質 | 該当しない | |||
| 国内規制 | ||||
| 海上規制情報 | 船舶安全法の規定に従う | |||
| 航空規制情報 | 航空法の規定に従う | |||
| 陸上規制情報 | 該当しない | |||
| 特別な安全上の対策 | 該当しない | |||
| その他 (一般的) 注意 | 輸送に際しては、直射日光を避け、容器の破損、腐食、漏れのないように積み込み、荷崩れの防止を確実に行う。 重量物を上積みしない。 | |||
| 緊急時応急措置指針番号* | 153 | |||
| * 北米緊急時応急措置指針に基づく。米国運輸省が中心となって発行した「2024 Emengency Response Guidebook」に掲載されている。 | ||||
| 15.適用法令 | ||||
|---|---|---|---|---|
| 法規制情報は作成年月日時点に基づいて記載されております。事業場において記載するに当たっては、最新情報を確認してください。 | ||||
| 労働安全衛生法 | 名称等を表示すべき危険物及び有害物(法第57条第1項、施行令第18条、施行令別表第9)(令和7年3月31日まで)【322 すず及びその化合物】 名称等を表示すべき危険物及び有害物(法第57条第1項、施行令第18条、施行令別表第9)(令和7年4月1日以降) 【15 すず及びその化合物】 名称等を通知すべき危険物及び有害物(法第57条の2、施行令第18条の2、施行令別表第9)(令和7年3月31日まで)【322 すず及びその化合物】 名称等を通知すべき危険物及び有害物(法第57条の2、施行令第18条の2、施行令別表第9) 【15 すず及びその化合物】 危険性又は有害性等を調査すべき物(法第57条の3) | |||
| 化学物質排出把握管理促進法 (PRTR法) | 第一種指定化学物質(法第2条第2項、施行令第1条別表第1) 【274 有機スズ化合物】 | |||
| 毒物及び劇物取締法 | - | |||
| 大気汚染防止法 | 有害大気汚染物質に該当する可能性がある物質(中央環境審議会第9次答申) 【110 有機スズ化合物】 | |||
| 船舶安全法 | 毒物類(危規則第3条危険物告示別表第1) | |||
| 航空法 | 毒物類(施行規則第194条危険物告示別表第1) | |||
| 港則法 | その他の危険物・毒物類(毒物)(法第20条第2項、規則第12条、危険物の種類を定める告示別表) | |||
| 消防法 | 第4類 引火性液体(法第2条第7項危険物別表第1・第4類) 【5 第三石油類非水溶性液体】 | |||
| 16.その他の情報 | ||||
|---|---|---|---|---|
| 参考文献 | ||||
| 9項、11項については各データ毎に記載。その他の各項については以下を参照。 ・NITE化学物質総合情報提供システム(NITE-CHRIP) ・International Chemical Safety Cards (ICSC) ・Hazardous Substances Data Bank (HSDB) ・GESTIS Substance database (GESTIS) ・2024 Emengency Response Guidebook ・一般社団法人日本化学工業協会 編「GHS対応ガイドライン ラベル及び表示・安全デ−タシ−ト作成指針」 ・厚生労働省「皮膚障害等防止用保護具の選定マニュアル第1版」 | ||||