| 1.化学品等及び会社情報 | |||
|---|---|---|---|
| 化学品の名称 | 2‐クロロ‐N‐(エトキシメチル)‐2'‐エチル‐6'‐メチルアセトアニリド(別名アセトクロール) | ||
| 化学品の英語名称 | 2-Chloro-N-(ethoxymethyl)-2'-ethyl-6'-methylacetanilide | ||
| 製品コード | R06-C-173-JNIOSH | ||
| 供給者の会社名 | ○○○○株式会社 | ||
| 住所 | 東京都△△区△△町△丁目△△番地 | ||
| 電話番号 | 03-1234-5678 | ||
| ファクシミリ番号 | 03-1234-5678 | ||
| 電子メールアドレス | 連絡先@検セ.or.jp | ||
| 緊急連絡電話番号 | 03-1234-5678 | ||
| 推奨用途及び使用上の制限 | 除草剤(NITE-CHRIPより引用) | ||
| 2.危険有害性の要約 | |||
|---|---|---|---|
| GHS分類 | |||
| 分類実施日 (物化危険性及び健康有害性) | 令和6年度(2024年度)、ガイダンスVer.2.1 (GHS 6版, JIS Z7252:2019) ※一部、平成23年度(2011年度)、ガイダンス(H22.7版) (GHS 3版, JIS Z 7252:2009) | ||
| 物理化学的危険性 | - | ||
| 健康に対する有害性 | 皮膚感作性 | 区分1B | |
| 発がん性 | 区分1B | ||
| 生殖毒性 | 区分2 | ||
| 特定標的臓器毒性 (反復ばく露) | 区分1(腎臓、精巣)、区分2(中枢神経系) | ||
| 分類実施日 (環境有害性) | 平成23年度(2011年度)、ガイダンス(H22.7版) (GHS 3版, JIS Z 7252:2009) | ||
| 環境に対する有害性 | 水生環境有害性 短期(急性) | 区分1 | |
| 水生環境有害性 長期(慢性) | 区分1 | ||
| GHSラベル要素 | |||
|---|---|---|---|
| 絵表示 | ![]() ![]() ![]() | ||
| 注意喚起語 | 危険 | ||
| 危険有害性情報 | アレルギー性皮膚反応を起こすおそれ 発がんのおそれ 生殖能又は胎児への悪影響のおそれの疑い 長期にわたる、又は反復ばく露による腎臓、精巣の障害 長期にわたる、又は反復ばく露による中枢神経系の障害のおそれ 水生生物に非常に強い毒性 長期継続的影響によって水生生物に非常に強い毒性 | ||
| 注意書き | |||
| 安全対策 | 粉じん/煙/ガス/ミスト/蒸気/スプレーの吸入を避けること。 汚染された作業衣は作業場から出さないこと。 保護手袋/保護衣/保護眼鏡/保護面を着用すること。 使用前に取扱説明書を入手すること。 全ての安全注意を読み理解するまで取り扱わないこと。 取扱い後はよく手を洗うこと。 この製品を使用するときに、飲食又は喫煙をしないこと。 環境への放出を避けること。 | ||
| 応急措置 | 皮膚に付着した場合:多量の水/石けん(鹸)で洗うこと。 皮膚刺激又は発しん(疹)が生じた場合:医師の診察/手当てを受けること。 特別な処置が必要である(このラベルの・・・を見よ)。 注) ”・・・”は、ラベルに解毒剤等中毒時の情報提供を受けるための連絡先などが記載されている場合のものです。ラベル作成時には、”・・・”を適切に置き換えてください。 汚染された衣類を脱ぎ、再使用する場合には洗濯をすること。 ばく露又はばく露の懸念がある場合:医師の診察/手当てを受けること。 気分が悪いときは、医師の診察/手当てを受けること。 漏出物を回収すること。 | ||
| 保管 | 施錠して保管すること。 | ||
| 廃棄 | 内容物/容器を都道府県知事の許可を受けた専門の廃棄物処理業者に依頼して廃棄すること。 | ||
| 他の危険有害性 | 情報なし | ||
| 3.組成及び成分情報 | |||
|---|---|---|---|
| 化学物質・混合物の区別 | 化学物質 | ||
| 化学名又は一般名 | 2‐クロロ‐N‐(エトキシメチル)‐2'‐エチル‐6'‐メチルアセトアニリド | ||
| 慣用名又は別名 | アセトクロール | ||
| 英語名 | 2-Chloro-N-(ethoxymethyl)-2'-ethyl-6'-methylacetanilide | ||
| 濃度又は濃度範囲 | 情報なし | ||
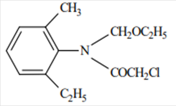
| 分子式 (分子量) | C14H20ClNO2 (270) | ||
| 化学特性 (示性式又は構造式) | ![]() | ||
| CAS番号 | 34256-82-1 | ||
| 官報公示整理番号 (化審法) | - | ||
| 官報公示整理番号 (安衛法) | - | ||
| GHS分類に寄与する成分(不純物及び安定化添加物も含む) | - | ||
| 4.応急措置 | |||
|---|---|---|---|
| 吸入した場合 | 気分が悪い時は、医師の診断、手当てを受けること。 症状が続く場合には、医師に連絡すること。 | ||
| 皮膚に付着した場合 | 皮膚刺激又は発しん(疹)が生じた場合:医師の診察/手当てを受けること。 多量の水/石けん(鹸)で洗うこと。 大量の水で洗うこと。症状が続く場合には、医師に連絡すること。 | ||
| 眼に入った場合 | 水で15〜20分間注意深く洗うこと。次に、コンタクトレンズを着用していて容易に外せる場合は外すこと。その後も洗浄を続けること。症状が続く場合には、医師に連絡すること。 | ||
| 飲み込んだ場合 | 水で口をすすぎ、直ちに医師の診断を受けること。 | ||
| 急性症状及び遅発性症状の最も重要な徴候症状 | 情報なし | ||
| 応急措置をする者の保護に必要な注意事項 | 救助者は、状況に応じて適切な眼、皮膚の保護具を着用する。 | ||
| 医師に対する特別な注意事項 | 情報なし | ||
| 5.火災時の措置 | |||
|---|---|---|---|
| 適切な消火剤 | 水噴霧、粉末消火剤、泡消火剤、二酸化炭素を使用する。 | ||
| 使ってはならない消火剤 | 火災が周辺に広がる恐れがあるため、直接の棒状注水を避ける。 | ||
| 特有の危険有害性 | 火災等の場合は、毒性の強い分解生成物が発生する可能性がある。 | ||
| 特有の消火方法 | 火元への燃焼源を断ち、消火剤を使用して消火する。 延焼の恐れのないよう水スプレーで周囲のタンク、建物等の冷却をする。 消火活動は風上から行う。 火災場所の周辺には関係者以外の立ち入りを規制する。 危険でなければ火災区域から容器を移動する。 | ||
| 消火を行う者の特別な保護具及び予防措置 | 消火作業の際は、適切な自給式の呼吸器用保護具、眼や皮膚を保護する防護服(耐熱性)を着用する。 | ||
| 6.漏出時の措置 | |||
|---|---|---|---|
| 人体に対する注意事項、保護具及び緊急措置 | 保護手袋/保護衣/保護眼鏡/保護面を着用すること。 関係者以外の立ち入りを禁止する。 作業者は適切な保護具(「8.ばく露防止及び保護措置」の項を参照)を着用し、眼、皮膚への接触や吸入を避ける。 | ||
| 環境に対する注意事項 | 環境への放出を避けること。 周辺環境に影響がある可能性があるため、製品の環境中への流出を避ける。 | ||
| 封じ込め及び浄化の方法及び機材 | 漏出物を回収すること。 汚染された作業衣は作業場から出さないこと。 危険でなければ漏れを止める。 少量の場合、ウエス、雑巾等でよく拭き取り適切な廃棄容器に回収する。 大量の場合、盛土等で囲って流出を防止する。 取扱いや保管場所の近傍での飲食の禁止。 | ||
| 二次災害の防止策 | 火花を発生しない安全な用具を使用する。 | ||
| 7.取扱い及び保管上の注意 | |||
|---|---|---|---|
| 取扱い | |||
| 技術的対策 | 「8.ばく露防止及び保護措置」に記載の措置を行い、必要に応じて保護具を着用する。 | ||
| 安全取扱い注意事項 | 機器類は防爆構造とし、設備は静電気対策を実施する。 周辺での高温物、スパーク、火気の使用を禁止する。 静電気放電に対する予防措置を講ずること。 粉じん/煙/ガス/ミスト/蒸気/スプレーを吸入しないこと。 全ての安全注意を読み理解するまで取り扱わないこと。 使用前に取扱説明書を入手すること。 粉じん/煙/ガス/ミスト/蒸気/スプレーの吸入を避けること。 皮膚に付着した部分を流水またはシャワーで洗い流したのち、水と石けん(鹸)で丁寧に洗浄する。 吸入した場合: 新鮮な空気のある場所に移動し、呼吸しやすい姿勢で安静にさせる。体調が悪い場合は、医師に連絡すること。 ばく露または懸念がある場合:医師の診察を受けてること。 | ||
| 接触回避 | 酸化剤、還元剤等 | ||
| 衛生対策 | この製品を使用するときに、飲食又は喫煙をしないこと。 汚染された衣類を脱ぎ、再使用する場合には洗濯をすること。 取扱い後はよく手を洗うこと。 取扱いや保管場所の近傍での飲食の禁止。 | ||
| 保管 | |||
| 安全な保管条件 | 施錠して保管すること。 直射日光を避け、冷暗所に保管する。高温物を近づけない。 | ||
| 安全な容器包装材料 | 消防法及び国連輸送法規で規定されている容器を使用する。 | ||
| 8.ばく露防止及び保護措置 | ||||
|---|---|---|---|---|
| 許容濃度については日本産衛学会の「許容濃度の勧告」及びACGIHの「TLVs and BEIs」について記載しています。 | ||||
| 管理濃度 | - | |||
| 濃度基準値 | ||||
| 八時間濃度基準値 | - | |||
| 短時間濃度基準値 | - | |||
| 許容濃度 | ||||
| 日本産衛学会 (2024年度版) | - | |||
| ACGIH (2024年版) | - | |||
| 設備対策 | 取り扱いの場所の近くに、洗眼および身体洗浄のための設備を設ける。 高温下や、ミストが発生する場合は換気装置を使用する。 | |||
| 保護具 | ||||
| 呼吸用保護具 | 必要に応じて保護マスクや呼吸用保護具を着用する。 | |||
| 手の保護具 | 手に接触する恐れがある場合、不浸透性の保護手袋を着用する。 | |||
| 眼の保護具 | 眼に入る恐れがある場合、保護眼鏡やゴーグルを着用する。 | |||
| 皮膚及び身体の保護具 | 必要に応じて不浸透性の保護衣、保護エプロン等を着用する。 | |||
| 9.物理的及び化学的性質 | |||
|---|---|---|---|
| 物理的状態 | |||
| 物理状態 | 液体 | ||
| 色 | 淡黄色、淡琥珀色〜紫色 | ||
| 臭い | 芳香がある | ||
| 融点/凝固点 | 10.6 ℃ (HSDB in PubChem(2024)) | ||
| 沸点、初留点及び沸騰範囲 | 172 ℃ (5 mmHg) (HSDB in PubChem(2024)) | ||
| 可燃性 | データなし | ||
| 爆発下限界及び爆発上限界/可燃限界 | データなし | ||
| 引火点 | 160 ℃ (purity: 95%) (EU CLP CLH (2013)) | ||
| 自然発火点 | 465 ℃ (purity: 95%) (EU CLP CLH (2013)) | ||
| 分解温度 | データなし | ||
| pH | データなし | ||
| 動粘性率 | データなし | ||
| 溶解度 | 水:0.2 g/L (20℃) (GESTIS (2024)) アルコール、アセトン、トルエン、四塩化炭素、ジエチルエーテル、ベンゼン、クロロホルム、エチルアセテート、ジクロロメタン、キシレン、ヘプタン:可溶 (HSDB in PubChem (2024)) | ||
| n-オクタノール/水分配係数 | log Pow:4.14 (20℃) (EU CLP CLH (2013)) | ||
| 蒸気圧 | 2.2×10-2 mPa (20℃) (HSDB in PubChem (2024)) | ||
| 密度及び/又は相対密度 | 1.136 g/mL(20℃)、1.107 g/mL(25℃)、1.1 g/mL(30℃) (HSDB in PubChem(2024)) | ||
| 相対ガス密度 | データなし | ||
| 粒子特性 | データなし | ||
| 10.安定性及び反応性 | |||
|---|---|---|---|
| 反応性 | 通常の取扱い条件下では安定である。 | ||
| 化学的安定性 | 通常の取扱い条件下では安定である。 | ||
| 危険有害反応可能性 | 通常の取扱い条件下では危険有害反応を起こさない。 | ||
| 避けるべき条件 | 直射日光を避け、冷暗所に保管する。 火気、加熱、高温、静電気、火花、爆発性混合気の形成 | ||
| 混触危険物質 | 酸化剤、還元剤等 | ||
| 危険有害な分解生成物 | 火災等の場合は、毒性の強い分解生成物が発生する可能性がある。 | ||
| 11.有害性情報 | ||||
|---|---|---|---|---|
| 急性毒性 | ||||
| 経口 | ラットのLD50値は2953 mg/kg(HSDB(2010))に基づき、JIS分類基準の区分に該当しない(国連分類基準の区分5)とした。 | |||
| 経皮 | ウサギのLD50値は3667 mg/kg(HSDB(2010))に基づき、JIS分類基準の区分に該当しない(国連分類基準の区分5)とした。 | |||
| 吸入: ガス | GHSの定義における液体である。 | |||
| 吸入: 蒸気 | データなし。 | |||
| 吸入: 粉じん及びミスト | データなし。 | |||
| 皮膚腐食性及び皮膚刺激性 | ウサギの皮膚に500 mgを24時間適用した標準ドレイズ試験で刺激性は軽度(mild)と報告されている(RTECS(2010))が、List 3のデータであり、詳細不明のため「分類できない」とした。なお、EU分類ではXi; R38である。 | |||
| 眼に対する重篤な損傷性又は眼刺激性 | ウサギの眼に100 mgを適用した標準ドレイズ試験で刺激性は軽度(mild)と報告されている(RTECS(2010))が、List 3のデータであり、詳細不明のため「分類できない」とした。 | |||
| 呼吸器感作性 | データなし。 | |||
| 皮膚感作性 | 【分類根拠】 (1)、(2)より区分1Bとした。なお、新たな知見に基づき、分類結果を変更した (2024年度)。 【根拠データ】 (1)モルモット(n= 20)を用いたマキシマイゼーション試験(OECD TG406、GLP:皮内感作10%、経皮感作100%、惹起100%及び30%)では、惹起終了24時間後の陽性率は適用濃度100%及び30%で各々18/19例(94.7%)及び13/19例(68%)であった(EU CLP CLH (2013)、ECHA RAC Opinion (2014)、ECHA CHEM (Accessed Nov. 2024))。 (2)モルモット(n= 10)を用いた改変ビューラー試験(非GLP:感作100%(計9回)、惹起100%)では、惹起終了24及び48時間後の陽性率はともに10/10(100%)であった(EU CLP CLH (2013)、ECHA RAC Opinion (2014))。 【参考データ等】 (3)モルモットを用いた皮膚感作性試験が実施された結果、重度の皮膚感作性が認められた(食安委 農薬評価書 (2013))。 (4)EUではSkin Sens. 1に分類されている(CLP分類 (Accessed Nov. 2024))。 | |||
| 生殖細胞変異原性 | データなし。 | |||
| 発がん性 | EPAの発がん性評価により、“L”に分類されている(EPA TRED(2006))ことから、区分1Bとした。なお、マウスの雌雄で肺腫瘍、雌で組織球肉腫、鼻上皮の腫瘍、ラットの雌雄で甲状腺濾胞腺腫の発生の増加が認められている(EPA TRED(2006))。 | |||
| 生殖毒性 | ラットに混餌投与による二世代生殖毒性試験において、慢性腎炎の増加など一般毒性が認められた高用量群(5000 ppm:雄325 mg/kg/day、雌442 mg/kg/day)で同腹仔数の軽度減少(約20%)、ラットの器官形成期に経口投与した発生毒性試験において、母動物の体重増加抑制など一般毒性が認められた高用量群(600 mg/kg/day)で、一腹当り吸収胚および着床後胚損失率の増加が認められた(IRIS(2002))ことから、区分2とした。なお、ウサギの器官形成期に経口投与した試験では、母動物の体重増加抑制が認められたが、仔の発生に対する悪影響は報告されていない(IRIS(2002))。 | |||
| 特定標的臓器毒性 (単回ばく露) | データなし。 | |||
| 特定標的臓器毒性 (反復ばく露) | イヌの1年間反復経口投与試験において、ガイダンス値範囲区分1の上限(10 mg/kg/day)およびそれを超えた用量で腎臓と精巣に影響が観察され、腎臓の変化は間質性腎炎と慢性脈管炎から成り、精巣については、萎縮、精細管の変性、精巣上体の精子減少であり、明らかな腎臓毒性および精巣毒性との記述(IRIS(2002))もあり、区分1(腎臓、精巣)とした。また、ガイダンス値区分2に相当する50 mg/kg/dayで頭部の異常運動、後肢硬直、運動失調、振戦、さらに立ち直り、跳び上がりおよび屈筋反射の抑制など神経学的影響が、虫部小脳の組織学的変化を伴って認められた(IRIS(2002))ことから区分2(中枢神経系)とした。なお、ヘモグロビン濃度、ヘマトクリット値および赤血球数の減少、ALT、γ-GTPなど肝酵素の上昇も報告されたが、病理組織学的変化を伴わないため分類の根拠としなかった。腎臓については、マウスの2年間混餌投与試験の高用量群(750 mg/kg/day)でも間質性腎炎の増加が報告されている(IRIS(2002))。 | |||
| 誤えん有害性* | データなし。 | |||
| * JIS Z7252の改訂により吸引性呼吸器有害性から項目名が変更となった。 | ||||
| 12.環境影響情報 | |||
|---|---|---|---|
| 生態毒性 | |||
| 水生環境有害性 短期(急性) | 藻類(珪藻)の96時間EC50 = 0.0034 mg/L(AQUIRE, 2012)から区分1とした。 | ||
| 水生環境有害性 長期(慢性) | 信頼性のある慢性毒性データは得られていない。急速分解性がなく(BIOWIN)、急性毒性区分1であることから、区分1とした。 | ||
| 残留性・分解性 | - | ||
| 生態蓄積性 | - | ||
| 土壌中の移動性 | - | ||
| オゾン層への有害性 | 当該物質はモントリオール議定書の附属書A〜C及びEに列記されていない。 | ||
| 13.廃棄上の注意 | |||
|---|---|---|---|
| 化学品(残余廃棄物)、当該化学品が付着している汚染容器及び包装の安全で、かつ、環境上望ましい廃棄、又はリサイクルに関する情報 | 廃棄においては、関連法規ならびに地方自治体の基準に従うこと。 都道府県知事などの許可を受けた産業廃棄物処理業者、もしくは地方公共団体がその処理を行っている場合にはそこに委託して処理する。 廃棄物の処理を委託する場合、処理業者等に危険性、有害性を十分告知の上処理を委託する。 容器は洗浄してリサイクルするか、関連法規制並びに地方自治体の基準に従って適切な処分を行う。 空容器を廃棄する場合は、内容物を完全に除去すること。 | ||
| 14.輸送上の注意 | ||||
|---|---|---|---|---|
| 本物質のGHS分類結果に基づく国際規制の分類等は、以下の通りと推定されるが、該否は製品によって異なる場合がある。輸送危険物の分類は、容器等級を含め、荷送人が責任をもって判断することとされているため、輸送の際には、個々の貨物について、製品の状態、形状等も考慮し、輸送モード (航空、船舶) を規制する法規に沿って事業者が判断する必要がある。 | ||||
| 国際規制 | ||||
| 国連番号 | 3082 | |||
| 品名(国連輸送名) | 環境有害物質、液体、他に品名が明示されていないもの | |||
| 国連分類 | 9 | |||
| 副次危険 | - | |||
| 容器等級 | III | |||
| 海洋汚染物質 | 該当する | |||
| MARPOL73/78附属書U及びIBCコードによるばら積み輸送される液体物質 | 該当する | |||
| 国内規制 | ||||
| 海上規制情報 | 船舶安全法に従う | |||
| 航空規制情報 | 航空法に従う | |||
| 陸上規制情報 | 消防法の規定に従う | |||
| 特別な安全上の対策 | 消防法の規定によるイエローカード携行の対象物 | |||
| その他 (一般的) 注意 | 輸送に際しては、直射日光を避け、容器の破損、腐食、漏れのないように積み込み、荷崩れの防止を確実に行う。 重量物を上積みしない。 | |||
| 緊急時応急措置指針番号* | 171 | |||
| * 北米緊急時応急措置指針に基づく。米国運輸省が中心となって発行した「2024 Emengency Response Guidebook」に掲載されている。 | ||||
| 15.適用法令 | ||||
|---|---|---|---|---|
| 法規制情報は作成年月日時点に基づいて記載されております。事業場において記載するに当たっては、最新情報を確認してください。 | ||||
| 労働安全衛生法 | 名称等を表示すべき危険物及び有害物(法第57条第1項、施行令第18条、施行令別表第9)(令和7年3月31日まで)【147の5 2−クロロ−N−(エトキシメチル)−N−(2−エチル−6−メチルフェニル)アセトアミド】 名称等を表示すべき危険物及び有害物(法第57条第1項、施行令第18条、労働安全衛生規則別表第2)(令和7年4月1日以降) 【473 2−クロロ−N−(エトキシメチル)−N−(2−エチル−6−メチルフェニル)アセトアミド】 名称等を通知すべき危険物及び有害物(法第57条の2、施行令第18条の2、施行令別表第9)(令和7年3月31日まで)【147の5 2−クロロ−N−(エトキシメチル)−N−(2−エチル−6−メチルフェニル)アセトアミド】 名称等を通知すべき危険物及び有害物(法第57条の2、施行令第18条の2、労働安全衛生規則別表第2)(令和7年4月1日以降) 【473 2−クロロ−N−(エトキシメチル)−N−(2−エチル−6−メチルフェニル)アセトアミド】 危険性又は有害性等を調査すべき物(法第57条の3) がん原性物質(作業記録等の30年保存対象物質)(労働安全衛生規則第577条の2) 【2−クロロ−N−(エトキシメチル)−N−(2−エチル−6−メチルフェニル)アセトアミド】 | |||
| 化学物質排出把握管理促進法 (PRTR法) | - | |||
| 毒物及び劇物取締法 | - | |||
| 水道法 | 水質基準(平15省令101号) 【38 塩化物イオン】 | |||
| 海洋汚染防止法 | 有害液体物質(X類物質)(施行令別表第1) 【(3) アセトクロール】 | |||
| 船舶安全法 | 有害性物質(危規則第3条危険物告示別表第1) | |||
| 航空法 | 有害性物質(施行規則第194条危険物告示別表第1) | |||
| 消防法 | 第4類 引火性液体(法第2条第7項危険物別表第1・第4類)【5 第三石油類 非水溶性液体】 | |||
| 16.その他の情報 | ||||
|---|---|---|---|---|
| 参考文献 | ||||
| 9項、11項については各データ毎に記載。その他の各項については以下を参照。 ・NITE化学物質総合情報提供システム(NITE-CHRIP) ・International Chemical Safety Cards (ICSC) ・Hazardous Substances Data Bank (HSDB) ・GESTIS Substance database (GESTIS) ・2024 Emengency Response Guidebook ・一般社団法人日本化学工業協会 編「GHS対応ガイドライン ラベル及び表示・安全デ−タシ−ト作成指針」 ・厚生労働省「皮膚障害等防止用保護具の選定マニュアル第1版」 | ||||